Electrical Engineering: Principles & Applications (6th Edition)

Published by Prentice Hall
ISBN 10: 0133116646
ISBN 13: 978-0-13311-664-9

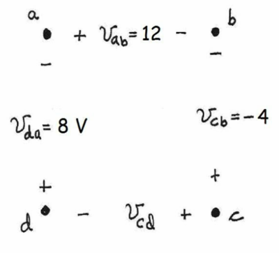
Chapter 1 - 1.5 - Problems - Kirchhoff's Voltage Laws - Page 39: P1.47

Answer

$v_{ac}=16V$ $v_{cd}=-24V$

Work Step by Step

Using the diagram, we can apply KVL to the loop areas: $v_{ab}-v_{cb}-v_{ac}=0, v_{ac}=12-(-4) V=16V$ $v_{ab}-v_{cb}+v_{cd} +v_{da}=0, 12-(-4)+v_{cd}+8=0, v_{cd}=-24V$
Update this answer!

You can help us out by revising, improving and updating this answer.

Update this answer

After you claim an answer you’ll have 24 hours to send in a draft. An editor will review the submission and either publish your submission or provide feedback.